Home      I wanna login  

NINGBO SUP BEARING CO.,LTD

Professional Exporter of Ball and Roller Bearing Since 2000 with Fabulous Honor

Bearing Manufacturer   19th Year

SUPbearing  was established and developed on the basis of the Dalian SUPbearing factory from 2000. The company is specialized in designing and manufacturing various kinds of large-size bearings(inch size taper roller bearings; cylindrical roller bearing; spherical roller bearings; thrust ball bearings; deep groove ball bearings and etc.), slewing rings, ceramic bearings, automotive bearings, low noise deep groove ball bearing and non-standard bearing for motors, oil drillings, automobiles, water pump, power tools, large-size agricultural machines and mining machines etc.


SUPbearing strictly implements the management of ISO9002 quality control system. Trough introducing new technology and more advanced equipments on bearing production.

We can take you higher quality products, competitive price and good service up to date.

Application
Contact Us
Telephone: +86-574-87126676
Fax: +86-574-87126621
Contact Person: Peter(Click to contact)
Address: Ningbo,Zhejiang,China
E-mail:
Website: http://www.supbearing.com
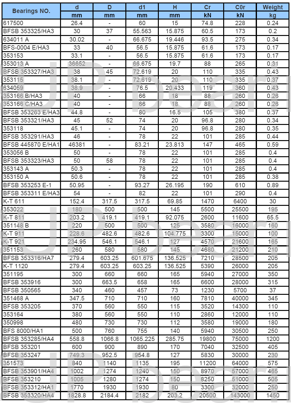
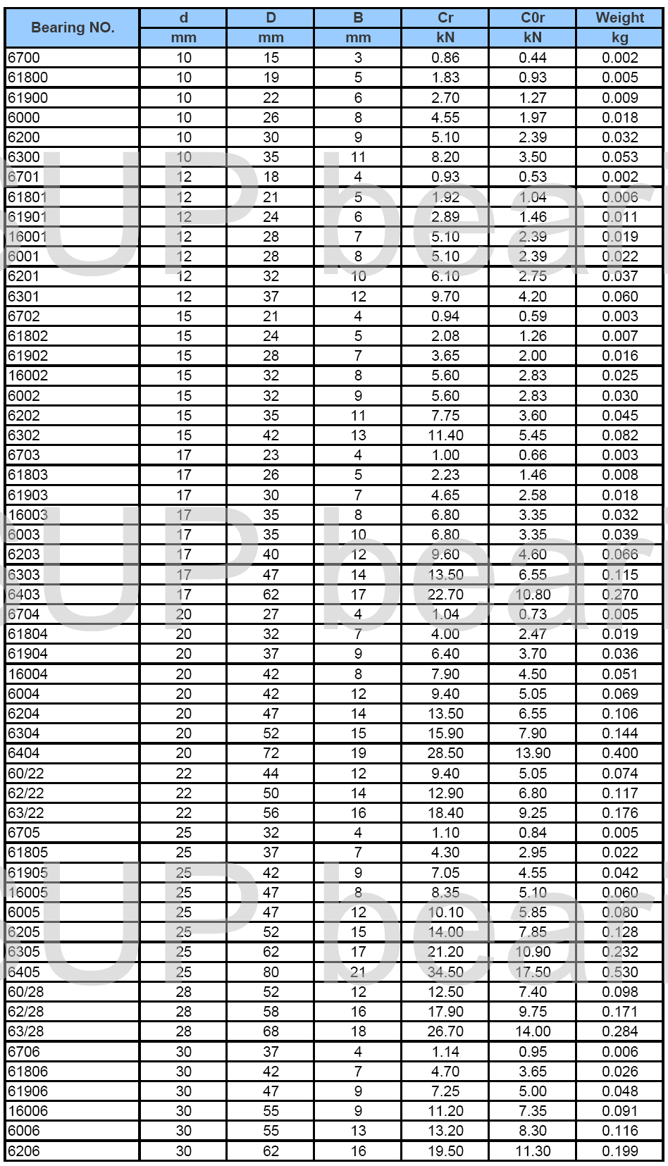
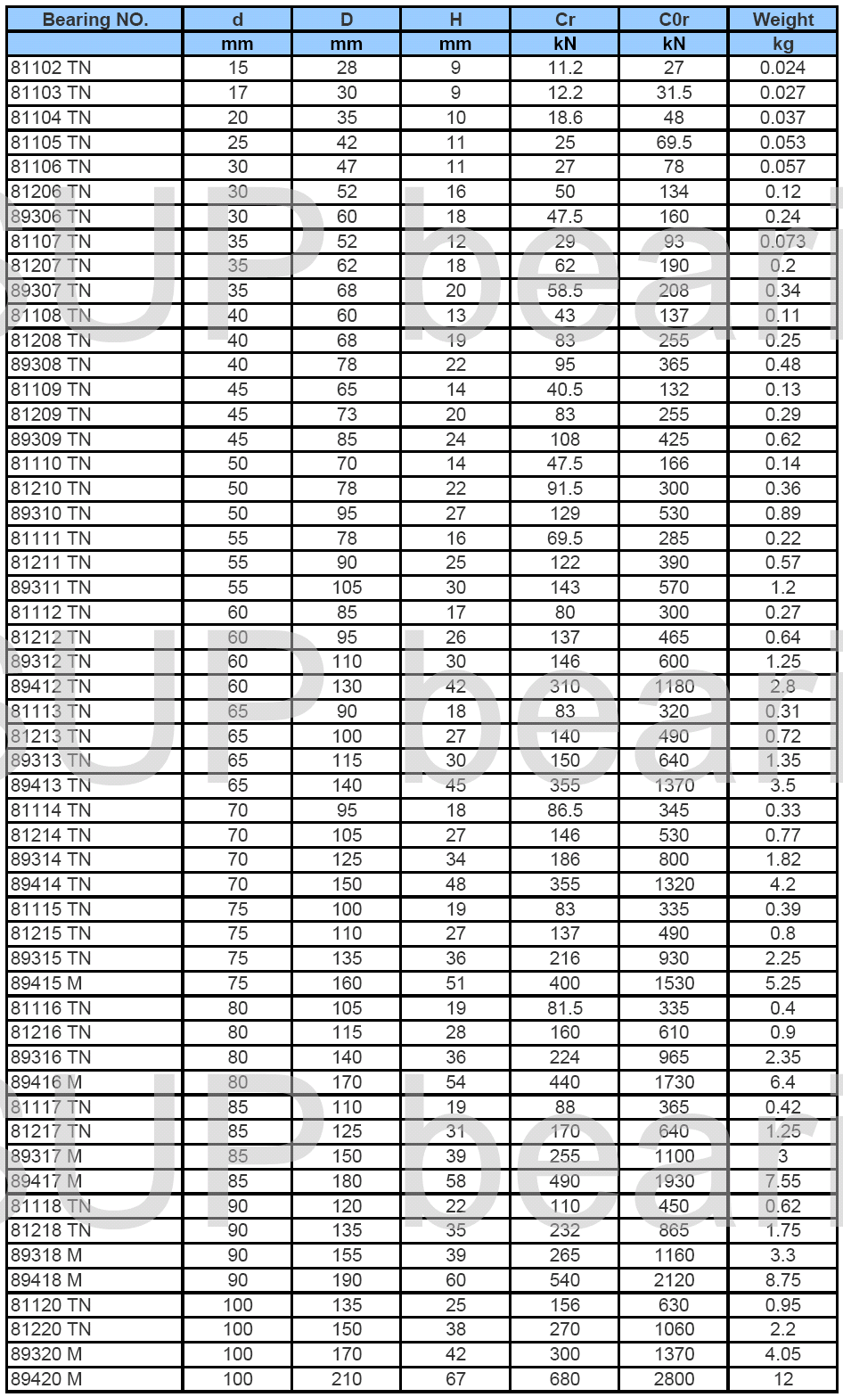
Product List
Back >>
1/2 [first page][Previous page][Next page][Last page]
Go to Page